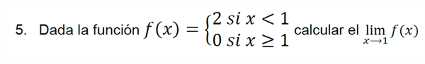
Determinar el límite de la siguiente función como se resuelve la siguiente sobre continuidad

Cual es la solución a la función que se muestra
en la imagen
1 Respuesta
Respuesta de peter parker
1
