Mañana examen ocupo me expliquen factorización paso por paso

Ocupo alguien con paciencia me explique bien esto por favor, no tengo idea de como hacerlo

1 respuesta

Respuesta
2

Mándalos en dos preguntas. Son muchos.

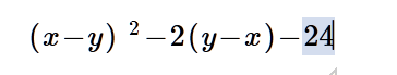
1) si llamo x-y=z

tenemos  un polinomio de 2º grado:

$$\begin{align}&z^2+2z-24\\&\\&buscando \ sus \ raíces:\\&z=\frac{-2 \pm \sqrt {2^2-4(-24)}}{2}=\frac{-2 \pm 10}{2}=\\&z_1=4\\&z_2=-6\\&\\&factorización:\\&(z-4)(z+6)=(x-y-4)(x-y-6)\\&\\&2) Es \ un \ trinomio \ perfecto\\&a^2+2ab+b^2=(a+b)^2\\&\\&\frac{9}{25}a^2+\frac{4}{5}ac+\frac{4}{9}c^2=(\frac{3}{5}a+\frac{2}{3}c)^2\\&\end{align}$$

3) agrupando son dos trinomios perfectos:

el cuadrado de la suma a^2+2ab+b^2=(a+b)^2

y el cuadrado de la resta  a^2-2ab+b^2=(a-b)^2

quedando finalmente una resta de cuadrados A^2-B^2=(A+B)(A-B)

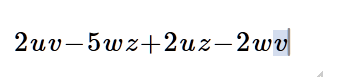
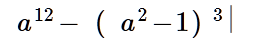
$$\begin{align}&x^2-y^2+4+4x-1-2y=(x^2+4x+4)-(1+2y+y^2)=\\&\\&(x+2)^2-(1+y)^2=\\&\\&[(x+2)+(1+y)][(x+2)-(1+y)]=\\&(x+y+3)(x-y+1)\\&\\&4) Doble  factor  \ común\\&\\&2uv-2wz+2uz-2wz=2u(v+z)-2w(z+v)=\\&\\&(v+z)(2u-2w)=2(v+z)(u-w)\\&\\&5)\\&Resta \ de \ cuadrdos: A^2-B^2=(A+B)(A-B)\\&x^2y^4z^6-144b^8c^{10}=(xy^2z^3+12b^4c^5)(xy^2z^3-12b^4c^5)\\&\\&6) Resta º de Cubos:\\&A^3-B^3=(A-B)(A^2+AB+B^2)\\&a^{12}-(a^2-1)^3=(a^4)^3-(a^2-1)^3=\\&\\&(a^4-a^2+1)[a^8+a^4(a^2-1)+(a^2-1)^2]=\\&\\&(a^4-a^2+1)(2a^8-2a^2+1)\end{align}$$

Saludos

;

;

Añade tu respuesta

Haz clic para o

Más respuestas relacionadas