¿Cómo resolver este ejercicio algebraico con determinantes?
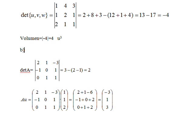
Como puedo calcular el Det(A) y el volumen del paralelepípedo determinado por Au, Av y Aw. ¿Qué se podría concluir?

1 respuesta
Respuesta de Lucas m
1

