Actividad pública reciente
Ha valorado "Excelente" la respuesta
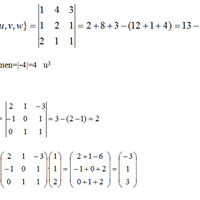
¿Cómo resolver este ejercicio algebraico con determinantes?
Ha valorado "Excelente" la respuesta
¿Cómo resolver este problema de álgebra?
Ha empezado a seguir a
Ha empezado a seguir a
Ha valorado "Excelente" la respuesta
¿Cómo resuelvo este ejercicio de álgebra?
Ha valorado "Excelente" la respuesta
Como encontrar el punto mas cercano de una recta o un plano?
Voto positivo a la respuesta
¿Cómo resuelvo este problema de estática?
Voto positivo a la respuesta
¿ Dudas sobre Electrostática, les agradezco?
Ha valorado "Excelente" la respuesta
