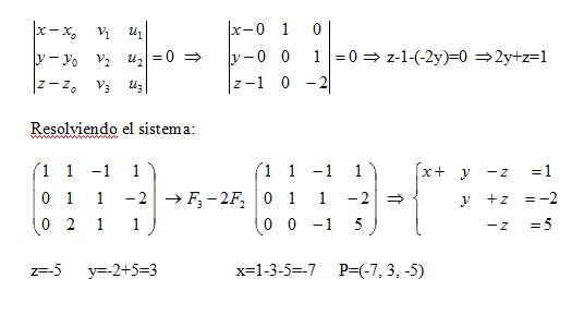
¿Cómo resuelvo este ejercicio de álgebra?
¿Cómo encuentro la intersección de la recta L con los planos y decido intentar relativa?

2 respuestas
Respuesta de Lucas m
1
Respuesta de Valero Angel Serrano Mercadal
1
