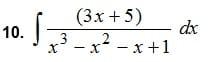
Como se soluciona esta integral hay que mencionar la técnica a utilizar

Buen día les agradezco su ayuda es fundamental me da seguridad en los resultados
3 respuestas
Respuesta
1
Respuesta de Valero Angel Serrano Mercadal
1
Respuesta de Mario Rodríguez
1


