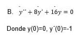
Resolver la siguiente ecuación diferencial

Buenas tardes espero que me ayuden con esta ecuación diferencial
1 respuesta
Respuesta
2

Buenas tardes espero que me ayuden con esta ecuación diferencial