Tengo problemas con integral definida y por sustitución

2 respuestas

Respuesta
1

·

·

¡Hola Yam!

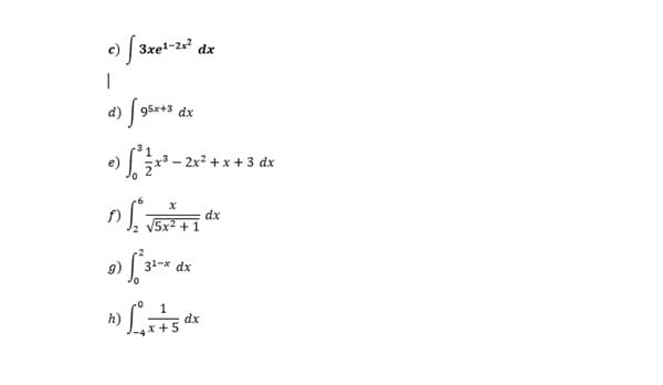
En integrales de esta categoría contestamos dos por pregunta como máximo. Contestaré las dos primeras.

La primera la haré por sustitución aunque no costaría mucho hacerla directamente ajustando alguna constante.

Y a la segunda no la veo de suficiente entidad para montar el tenderete de las integrales por cambio de variable, simplemente ajustaremos constantes para que dentro quede una derivada exacta y fuera se compensa con esa misma constante dividiendo.

$$\begin{align}&∫3xe^{1-2x^2 }  dx=\\&\\&t=1-2x^2\\&dt=-4x\,dx\implies x\,dx=-\frac 14dt\\&\\&=\int3·\left(-\frac 14  \right)e^tdt=\\&\\&-\frac 34e^t+C=\\&\\&-\frac 34e^{1-2x^2}+C\\&\\&\\&---------------\\&\\&\\&\int9^{5x+3}dx=\\&\\&\text{multiplicamos y dividimos por }ln\,9\\&\\&=\frac{1}{ln\,9}\int 9^{5x+3}ln\,9\;dx=\\&\\&\text{y multiplicamos y dividimos por 5}\\&\\&=\frac 15·\frac{1}{ln\,9}\int 5·9^{5x+3}ln\,9\;dx=\\&\\&\text{Y el integrando es la derivada exacta de }9^{5x+3}\\&\\&=\frac{9^{5x+3}}{5·ln\,9}+C\end{align}$$

Y eso es todo, espero que te sirva y lo hayas entendido.  Si no es así pregúntame.  Y si ya edtá bien, no olvides puntuar.

Saludos.

:

:

¡Gracias! muchas gracias por tomarse de nuevo el tiempo para responder mis dudas. saludos....................

¿No puedo hacer el inciso e podrías ayudarme?

No Yam, seguimos ciertas reglas. Manda una pregunta nueva con esas dos integrales que te faltan y te responderemos.

Saludos.

:

:

Respuesta
1

Contestaré las últimas dos (g, h)

$$\begin{align}&g) \int_0^2 3^{1-x} dx\\&\text{Debes saber que: }\int a^x = \frac{a^x}{ln\ x}\\&\text{(Sustitución 1-x=u)}\\&1-x=u\\&-dx = du\\&x=0 \to u=1\\&x=2\to u=-1\\&\int_0^2 3^{1-x} dx=\int_1^{-1} 3^{u} (-du)=-\frac{3^u}{ln\ 3}\bigg|_1^{-1}=\\&-\frac{3^{-1}}{ln\ 3}-(-\frac{3^1}{ln\ 3})=\\&\frac{3- 3^{-1}}{ln\ 3}=\frac{\frac{9-1}{3}}{ln\ 3}=\frac{8}{3ln\ 3}\\&h) \int_{-4}^0 \frac{1}{x+5} dx=ln |x+5| \bigg|_{-4}^0=ln |0+5|- ln |-4+5|=ln\ 5 \end{align}$$

Añade tu respuesta

Haz clic para o

Más respuestas relacionadas