Ejercicio de matrices que conmutan:

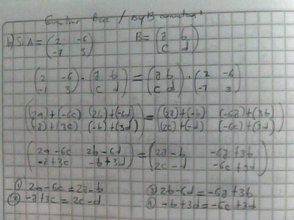
si A=  2    -6

          -1     3

Encontar la matriz B 2×2 diferente de ⊘ y B 2×2 diferente de I / A y B conmuten.

Bueno yo estaba desarrollando el ejercicio pero lleguè hasta aquì:

1 Respuesta

Respuesta
3

--

--

¡Hola Candy!

Debes seguir el camino emprendido. De todas formas deja que lo haga por si acaso

1) 2a-6c = 2a -b      ==> -6c = -b  => b=6c

2) a+ 3c = 2c-d        ==> a+c+d=0

3) 2b-6d = -6a+3b  ==> -6a +b +6d = 0

4) -b+3d = -6c+3d  ==>  -b=6c  ==> b=6c

Como puedes ver la primera y cuarta son iguales, eso significa que habrá infinitas respuestas

Nos quedamos con las ecuaciones 2 y 3 sustituyendo b de la 1 en la 3

2)  a+c+d=0

3) -6a +6c +6d =0 ==> -a + c+d =0

Si a la 3 le restamos la 2

-2a=0

a=0

luego

c+d=0

c=-d

b=6c = -6d

Tomando d como parámetro las matrices que conmutan son

(0 -6d)

(-D d)

Para todo d de R

Y la comprobación es

(2 -6) (0 -6d) (6d -18d)

(-1 3) x (-d d) = (-3d 9d)

·

(0 - 6d) (2 -6) (6d - 18d)

(-d d) x (-1 3) = (-3d 9d)

Luego está bien.

Y eso es todo, esepro que te sirva y lo hayas entendido.

Saludos.

--

--

Añade tu respuesta

Haz clic para o

Más respuestas relacionadas