Hallar el centro de masa (calculo integral)
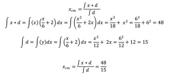
Hallar el centro de masa de un objeto cuya funcion de densidad es p(x) x/6+2 para 0<=x<=6
2 respuestas
Respuesta
1
Respuesta de Valero Angel Serrano Mercadal
1

