Hallar, paso a paso, los 6 primeros términos de las siguientessucesiones:

Conocimiento en la solución de problemas de sucesiones y progresiones.

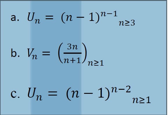
Hallar, paso a paso, los 6 primeros términos de las siguientes sucesiones:

?? = (? − 1) ?−1 ?≥3

?? = (? − 1) ?−1 ?≥3

2 respuestas

Respuesta
2
$$\begin{align}&\text{Para hallar los primeros 6 términos, sólo sustituiremos los valores en la suceción, respetando el dominio de n, entonces:}\\&\\&a)\ U_{n}=(n-1)^{n-1}\ \text{A partir de:}\ \ n\ge3\\&\\&U_{3}=(3-1)^{3-1}=2^2=4\\&U_{4}=(4-1)^{4-1}=3^3=27\\&U_{5}=(5-1)^{5-1}=4^4=256\\&U_{6}=(6-1)^{6-1}=5^5=3,125\\&U_{7}=(7-1)^{7-1}=6^6=46,656\\&U_{8}=(8-1)^{8-1}=7^7=823,543\\&\\&\text{Por lo tanto, los seis primeros términos de la sucesión serán:}\\&\\&4,27,256,3125,46656,823543,....\end{align}$$
$$\begin{align}&b) \ \ V_{n}=(\frac{3n}{n+1})\ \ \text{A partir de:}\ \ n\ge1\\&\\&V_{1}=(\frac{3*1}{1+1})=\frac{3}{2}\\&\\&V_{2}=(\frac{3*2}{2+1})=\frac{6}{3}=2\\&\\&V_{3}=(\frac{3*3}{3+1})=\frac{9}{4}\\&\\&V_{4}=\frac{3*4}{4+1}=\frac{12}{5}\\&\\&V_{5}=\frac{3*5}{5+1}=\frac{15}{6}=\frac{5}{2}\\&\\&V_{6}=\frac{3*6}{6+1}=\frac{18}{7}\\&\\&\text{Por lo tanto, los seis primeros términos serán:}\\&\\&\frac{3}{2}, 2, \frac{9}{4},\frac{12}{5},\frac{5}{2},\frac{18}{7},.....\\&\\&\\&\\&\\&\end{align}$$
$$\begin{align}&c)U_{n}=(n-1)^{n-2}\ \text{A partir de n}\ge1\\&\\&U_{1}=(1-1)^{1-2}=0^{-1}=\infty\ \  (\text{Me imagino que hay un erro y debe ser a partir de n>1})\\&U_{2}=(2-1)^{2-2}=1^0=1\\&U_{3}=(3-1)^{3-2}=2^1=2\\&U_{4}=(4-1)^{4-2}=3^2=9\\&U_{5}=(5-1)^{5-2}=4^3=64\\&U_{6}=(6-1)^{6-2}=5^4=625\\&U_{7}=(7-1)^{7-2}=6^5=7776\\&\\&\text{Luego, los seis primeros términos de la sucesión será:}\\&\\&1,2,9,64,625,7776,.......\end{align}$$

Ya está del (a) al (c), pero no entiendo que son esos últimos de abajo.

Espero tu aclaración :D

Y si tienes duda, me preguntas :)

Respuesta
2

·

Para hallar los terminos sustituiremos el primer numero que nos dan y los cinco siguientes en la fórmula del término general de la sucesión y efectuaremos los cálculos

$$\begin{align}&a)\quad U_n=(n-1)^{n-1} \quad n\ge3\\&\\&U_3=(3-1)^{3-1}=2^2 = 4\\&U_4=(4-1)^{4-1}=3^3 =27\\&U_5=(5-1)^{5-1}=4^4 =256\\&U_6=(6-1)^{6-1}=5^5 =3125\\&U_7=(7-1)^{7-1}=6^6 =46656\\&U_8=(8-1)^{8-1}=7^7 =823543\\&\\&4,\; 27,\;256,\;3125, 46656, 823543\\&\\&\\&\\&b)\quad  V_n=\frac{3n}{n+1}\quad n\ge1 \\&\\&V_1=\frac{3·1}{1+1}=\frac{3}{2}\\&\\&V_2=\frac{3·2}{2+1}=\frac{6}{3}=2\\&\\&V_3=\frac{3·3}{3+1}=\frac{9}{4}\\&\\&V_4=\frac{3·4}{4+1}=\frac{12}{5}\\&\\&V_5=\frac{3·5}{5+1}=\frac {15}6=\frac{5}{2}\\&\\&V_6=\frac{3·6}{6+1}=\frac {18}7\\&\\&\frac 32,\;2\;, \frac 94,\;\frac {12}{5},\;\frac{5}{2},\;\frac{18}{7}\\&\\&\\&\\&\\&\\&c) \quad U_n=(n-1)^{n-2}\quad n\ge 1\\&\\&U_1=(1-1)^{1-2}=0^{-1}=\frac 10 \text{ no está definida}\\&U_2=(2-1)^{2-2}=1^0=1\\&U_3=(3-1)^{3-2}=2^1=2\\&U_4=(4-1)^{4-2}=3^3=9\\&U_5=(5-1)^{5-2}=4^3=64\\&U_6=(6-1)^{6-2}=5^4=625\\&U_7=(7-1)^{7-2}=6^5 = 7776\\&\\&1,\;2,\;9,\;64,\;625,\;7776\end{align}$$

En esta última seguramente hay un fallo con el elemento de comienzo que será el 2.

Añade tu respuesta

Haz clic para o

Más respuestas relacionadas