Preguntas esperando respuesta
Actividad pública reciente
Ha preguntado en el tema en
Matemáticas
y en 1 temas más
Desarrolle el siguiente ejercicio de autómatas y lenguajes formales
Desarrolle el siguiente ejercicio: Asuma que hubo error en el dato recibido en el par de bits codificados 2, 5 y 8 con distancia de haming 1. 1. Determine cuál fue el dato de entrada. (Complete la tabla) 2. Determine los estados presentes:...
Sin respuestas
Ha preguntado en el tema en
Ingeniería Electrónica
y en 2 temas más
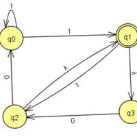
Teniendo en cuenta el siguiente autómata realizar lo siguiente:
Ejercicio 1: Teniendo en cuenta el autómata realizar la expresión regular, el lenguaje regular y mencionar el tipo de autómata (Autómata finito determinista y autómata finito no determinista)
Sin respuestas
Ha preguntado en el tema en
Ingeniería Electrónica
y en 2 temas más
Resolver el siguieente ejercicio de autómatas y lenguajes formales
Ejercicio 3: Teniendo en cuenta el ejercicio anterior, seleccionar el autómata finito determinista (AFD). Con base en ese autómata desarrolle: 1. Describa la forma matemática del autómata, 2. Plasme la tabla de transición. 3. Identifique los...
Sin respuestas
Ha preguntado en el tema en
Matemáticas
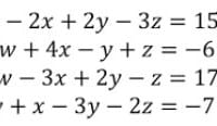
Solucione el siguiente sistema de ecuaciones utilizando el Método de Gauss-Jordán.
Es un método por el cual pueden resolverse sistemas de ecuaciones lineales con n números de variables, encontrar matrices y matrices inversas, en este caso desarrollaremos la primera aplicación mencionada.
Sin respuestas
Ha preguntado en el tema en
Matemáticas
Solucione el siguiente sistema de ecuaciones utilizando los Método de eliminación de Gauss.
El método de Gauss consiste en transformar un sistema de ecuaciones en otro. Solucione el siguiente sistema de ecuaciones utilizando los Método de eliminación de Gauss.
Sin respuestas
Ha preguntado en el tema en
Matemáticas
y en 1 temas más
HALLAR EL AUTÓMATA MÍNIMO CORRESPONDIENTE al autómata finito que representa la siguiente expresión regular
Resolver el siguiente problema: HALLAR EL AUTÓMATA MÍNIMO CORRESPONDIENTE al autómata finito que representa la siguiente expresión regular. Realice la descripción (notación) (caracterización) matemática del autómata. (Antes de minimizar) y Plasme la...
Sin respuestas
Ha preguntado en el tema en
Matemáticas
y en 1 temas más
Resolver: Usando el Método de Punto Fijo para aproximar la raíz de ?(?)=?2+4?−?, comenzando con xo=0, con 5 iteraciones.
Usar el Método de Punto Fijo para aproximar la raíz de ?(?)=?2+4?−??, comenzando con Xo=0, con 5 iteraciones. La Raíz que se tiene que llegar es X= 0.318
Sin respuestas
Ha preguntado en el tema en
Ingeniería Electrónica
Resolver el siguiente autómata e identificar si es AFD o AFND
Teniendo en cuenta el siguiente autómata identifique si es AFD o AFND, Si es un AFD genere un AFND que reconozca el mismo lenguaje; o por lo contrario si el autómata inicial es un AFND, genere un AFD que reconozca el mismo lenguaje. 1. Describa la...
Sin respuestas
Ha valorado "Excelente" la respuesta
Como resolver el siguiente problema de ecuaciones diferenciales
· · ¡Hola Fernanda! La fórmula del número de bacterias en el instante t es: Y eso es todo. espero que te sirva, no olvides valorar la respuesta. Sa lu dos. : :
Voto positivo a la respuesta
¿Alguien que pueda resolver este ejercicio?
· ¡Hola Mercedes! Tomaremos como solución una serie de potencias en torno a cero y le haremos cumplir la ecuación diferencial para calcular todos los coeficientes o los que se pueda y tengamos tiempo. .. ..
Ha valorado "Excelente" la respuesta
Ecuaciones diferenciales y solución por series de potencias
· · ¡Hola Fernanda! No sabes lo que me costo resolver esta ecuación con ese método. Te voy a dar el enlace a donde lo hice donde verás todo el trabajo. Por favor, vuelve después aquí para valorar la respuesta que preguntas como estás merecían ser...
Ha valorado "Excelente" la respuesta
Buscar el método de solución más apropiado según las ecuaciones diferenciales de primer orden
Ha valorado "Buena" la respuesta
