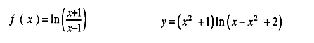
Tengo esta duda con estos problemas derivadas ...

Ayúdenme con estos problemas gracias...............................
2 respuestas
Respuesta
1
Respuesta de Valero Angel Serrano Mercadal
1
