¿Cómo demuestro la igualdad de trazas de dos matrices?
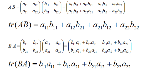
Sean A, B matrices cuadradas de igual tamaño, demostrar que la traza de AB es igual a la traza de BA.
1 respuesta
Respuesta de Lucas m
3


