Como llevar a cabo las siguientes Funciones?

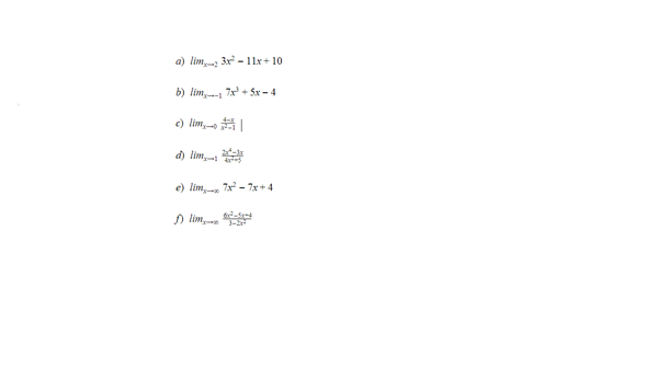
  1. Determina los límites que se indican a continuación: como resolver?

1 Respuesta

Respuesta
1

·

Estoy viendo varios que simplemente es sustituir la x por el valor y calcular

$$\begin{align}&a)\quad \lim_{x\to2}(3x^2-11x+10)=\\&3·2^2-11·2 + 10 =\\&12-22+10 = 0\\&\\&\\&\\&\\&b)\quad \lim_{x\to-1}(7x^3+5x-4)=\\&7·(-1)^3+5·(-1)-4=\\&7(-1)-5 -4 =\\&-7 -5-4 = -16\\&\\&\\&\\&\\&c)\quad \lim_{x\to 0}\frac{4-x}{x^2-1}=\frac{4-0}{0^2-1}=\frac{4}{-1}=-4\\&\\&\\&\\&\\&d)\lim_{x\to 1}\frac{2x^4-3x}{4x^2+5}=\frac{2·1^4-3·1}{4·1^2+5}=\frac{2-3}{4+5}=-\frac{1}{9}\\&\\&\\&\\&e)\quad \lim_{x\to\infty}(7x^2-7x+4)=\\&\\&\text {el infinito de mayor grado se lleva el gato al agua}\\&\\&=7·\infty^2=\infty\\&\\&\text{no obstante puedes verlo así}\\&\\&\lim_{x\to\infty}(7x^2-7x+4)= \lim_{x\to\infty}[x(7x-7)+4]=\\&\\&\infty(7·\infty-7)+4= \infty·\infty+4 = \infty\\&\\&\\&\\&f)\quad \lim_{x\to\infty}\frac{6x^2-5x+4}{3-2x^2}=\\&\\&\text{dividimos numerador y denominador por }x^2\\&\\&=\lim_{x\to\infty}\frac{\frac{6x^2-5x+4}{x^2}}{\frac{3-2x^2}{x^2}}=\lim_{x\to\infty}\frac{1-\frac{5}{x}+\frac{4}{x^2}}{\frac{3}{x^2}-2}=\\&\\&\text{los que tienen x o }x^2 \text{ en el denominador }\to 0\\&\\&=\frac{1-0+0}{0-2}=\frac{1}{-2}=-\frac 12\end{align}$$

Y eso es todo.

Añade tu respuesta

Haz clic para o

Más respuestas relacionadas