Problema sobre valor promedio de una función (1)
Inversionistas pretenden abrir una empresa de mensajería y se sabe que existe una fórmula para calcular el capital con el que operan muchos de éstos negocios a través del tiempo.
La ecuación es la siguiente y su gráfica:
f(x) = 0.25x³ - 0.5x² + 1
En dónde x es el tiempo en años.

Si la empresa iniciará con un capital de 1 millón de pesos (cuando x=0).
Responda las siguientes preguntas:
a) De acuerdo con la gráfica para el segundo año ¿con qué capital contará la empresa?
b).¿Qué sucede con el capital desde que inicia operaciones la empresa hasta el primer año? ¿De acuerdo con sus criterios y experiencia por qué sucede esto?
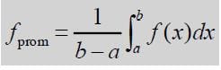
c) Calcular el valor promedio con el que operará la empresa desde que inicia sus operaciones (x=0) hasta el tercer año (x=3), utilizar la fórmula:

d) De acuerdo con el resultado obtenido mencionar si el valor se encuentra dentro del intervalo establecido y colocarlo dentro de tu gráfica
e) ¿Qué cree que signifique ese valor?

