Coeficiente de correlación de Pearson, duda sobre fórmula

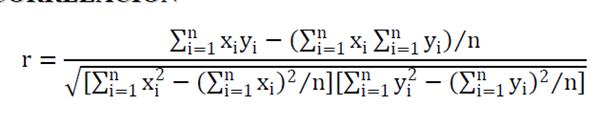
Buenos días, tengo dudas acerca si esta fórmula para calcular la correlación es correcta

1 respuesta

Respuesta
1
$$\begin{align}& \end{align}$$

¡Hola Chistian!

·

El coeficiente de correlación es la covarianza entre el producto de las desviaciones.

El numerador no es la covarianza sino la covarianza multiplicada por n, veamos si el denominador es el producto de las desviaciones multiplicado por n

$$\begin{align}&n·\sigma_x·\sigma_y=\\&\\&n \sqrt{\frac{\sum_{i=1}^nX_i^2}{n}-\left(\frac{\sum_{i=1}^n X_i}{n}\right)^2}\sqrt{\frac{\sum_{i=1}^nY_i^2}{n}-\left(\frac{\sum_{i=1}^n Y_i}{n}\right)^2}=\\&\text{dentro de cada raíz cuadrada va a parar una n}\\&\\& \sqrt{\sum_{i=1}^nX_i^2-\frac{\left(\sum_{i=1}^n X_i\right)^2}{n}}\sqrt{\sum_{i=1}^nY_i^2-\frac{\left(\sum_{i=1}^n Y_i\right)^2}{n}}\end{align}$$

Si, está bien.  Es que hay varias formas de expresarlo y esta es una de ellas.

Añade tu respuesta

Haz clic para o

Más respuestas relacionadas