christian moreno

christian moreno

estudiante de psicologia
 275 puntos  San Luis, Argentina @erecem desde - visto

Preguntas esperando respuesta

Actividad pública reciente

Ha preguntado en el tema en y en 1 temas más

Aislacion térmica de techo interior

En una habitación de la casa la cual se construyo después, se vuelve insoportable el calor como si fuera un horno, si tocas el techo con la mano, se siente que esta caliente a diferencias de las otras paredes que están neutras. Me gustaría saber si...
Ha valorado "Buena" la respuesta

Duda sobre Problema de distribución normal

respondió: Tal como yo lo veo, si queremos un intervalo central del 68%, corresponde en la N(0;1) La función phi(t) corresponde a la lectura en la Normal tipificada, es decir N de media 0 y desviación típica 1. El valor en la tabla más próximo es 0,8413 que...
Ha valorado "Buena" la respuesta

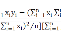
Coeficiente de correlación de Pearson, duda sobre fórmula

respondió: ¡Hola Chistian! · El coeficiente de correlación es la covarianza entre el producto de las desviaciones. El numerador no es la covarianza sino la covarianza multiplicada por n, veamos si el denominador es el producto de las desviaciones multiplicado...
Ha empezado a seguir el tema
Ha empezado a seguir el tema
Ha empezado a seguir el tema
Ha empezado a seguir el tema
Ha empezado a seguir el tema
Ha valorado "Excelente" la respuesta

Duda acerca de la distribucion normal standard

respondió: Puedes hacerlo de dos formas. Sabes que la distribución es simétrica respecto del 0.Luego entre -zo y 0 hay tanta probabilidad como entre 0 y zo. Luego 2P(0 < z < zo) = 0.73 P(0 < z < zo) = 0.365 P(zo) - P(0) = 0.365 P(zo) - 0.5 = 0.365 P(zo) = 0.865...
Ha respondido en

Mi novia y su mejor amigo.

Acabo de leer toda tu historia, soy christian. En primer lugar, lamento el momento ansioso que estas pasando por tu novia y su amigo. Puse bastante interés en las preguntas que formulaste: "¿que es lo que está mal? ¿soy yo, es ella, es él? ¿Ella esta...
Ha empezado a seguir el tema
Ha preguntado en el tema en

Dolor en el abdomen derecho inferior

Hola ayer estaba en el baño intentando defecar, cosa que me costo mucho y hice mucha fuerza y me quedo doliendo el abdomen en la parte inferior derecha. Cuando caminaba o me movía bruscamente sentía unos tirones en la zona y un par de molestia en la...
Sin respuestas

Mejores respuestas proporcionadas

1