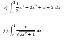
Como se resuelven parte 2 integrales
aquí están las otras dos por favor de integrales por sustitución o definidas

2 Respuestas
Respuesta de Lucas m
1
Respuesta de Valero Angel Serrano Mercadal
1
Una errata al final del todo, es 181 en lugar de 81 - Valero Angel Serrano Mercadal
Gracias.Creí que era lo que había puesto - Lucas m