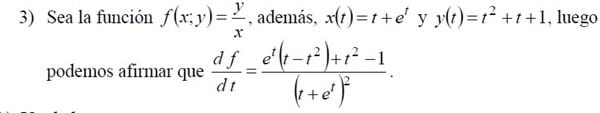
Modelamiento Matemático - Funciones, derivadas, verdadero o falso

¿Esta afirmación es verdadera o falsa? Necesitaría la resolución de la pregunta también, muchas gracias
1 Respuesta
Respuesta de Valero Angel Serrano Mercadal
1