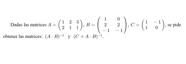
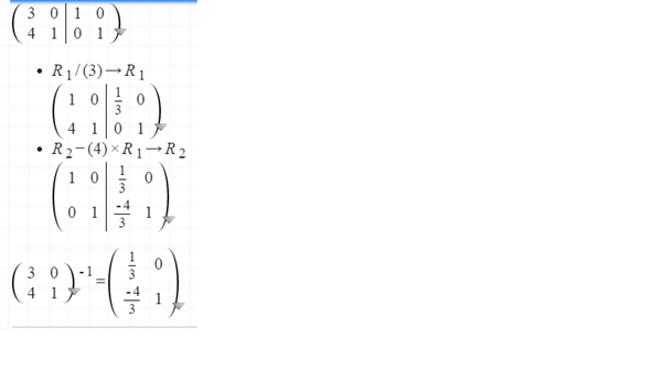
Dada las Matrices. A, B, C, obtener matrices mediante fórmulas :z

solucion por favor se da un exelente
1 respuesta
Respuesta de Lucas m
1



