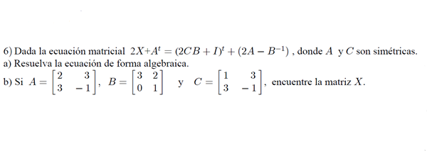
Ayuda por favor ecuación matricial donde A y C Son simétricas

Soluciones por favor de a, b, c se agradece con excelentes como siempre.
1 Respuesta
Respuesta de Valero Angel Serrano Mercadal
3