Hola, me gustaría conocer su opinión antes de formularle mi pregunta.
Hace como 4 años que usted tuvo la cortesía de responderme una pregunta y se mostró muy receptivo por lo que me animo a plantearle el siguiente tema si es que usted no es miembro de La Web de Física y ya este tema no sea de su conocimiento, lo he publicado en ese foro y no en este medio puesto que es algo extenso.
He intuido la manera de poner de manifiestos ciertas magnitudes físicas, por lo que de acuerdo a mi nivel técnico y de una manera un tanto atrevida, he hecho una recopilación de conceptos y valores, que he denominado como una hipótesis sobre física de conexión contenida como un documento PDF en una pagina que he creado (si me autoriza le puedo proporcionar el enlace).
De acuerdo a los conceptos esenciales de la mecánica clásica, pienso que he establecido dichas magnitudes, pero de acuerdo a procedimientos mas amplios como seria mediante integraciones no he podido mostrar y demostrar estas magnitudes, pero considero que aun mediante estos procedimiento tampoco he tenido una negación de ellas.
Si es de su buen parecer y le interesa el tema, yo estaría muy complacido en proporcionarle dichos enlaces o plantearle la situación por el medio que usted considere adecuado. Muchas gracias de nuevo por su gentileza, David Js. Ramos.
1 Respuesta
Si la pregunta es de Física no elemental no podré contestarte. Hay una página de Física y los ingenieros también saben mucha Física, podrías preguntarles a ellos. No obstante dame los datos y te diré si puedo hacer algo o no puedo hacer nada.
¡Gracias!
Si es sobre física elemental. En realidad me baso en ella al no tener mas recursos.
Como le he dicho, he recopilado conceptos teóricos para sustentar los ejemplos que dado dentro de mis posibilidades en el siguiente documento:
http://fisicadeconexion.com/wp-content/uploads/2014/07/HIPOTESIS-GENERAL-SOBRE-FISICA-DE-CONEXION.pdf
Este documento resulta debido a mis limitaciones técnicas, muy redundante por lo que motivaría a revisarlo de manera intensiva para determinar los factores que sean validos y de interés para la ciencia, recaería en que las magnitudes que se deribarian del primer ejemplo que expongo en dicha hipótesis, se puedan demostrar por lo menos de manera numérica, por consecuencia he expuesto dichas situacion en dicho foro para su evaluación:
http://forum.lawebdefisica.com/threads/28678-Como-publicar-una-hip%C3%B3tesis-de-f%C3%ADsica
Como podrá comprobar, yo afirmo que el centro de masas de un sistema cerrado de fuerza se puede desplazar sin interactuar con otra masa fuera del sistema, estas afirmación ha sido negada pero apelando a los resultados que deben de ser de acuerdo a los conceptos preestablecidos. El forista que ha tenido la cortesía de evaluar la situación y las magnitudes que he establecido concluye que no es posible pero para mi entender no ha determinado mediante una integración el desplazamiento de la masa que mantiene el sistema en posición fija de acuerdo a la fuerza media que ejerce, y lo que determinaría el centro de masas del sistema, esto podrá verlo en la segunda pagina del hilo.
Yo tengo la intención de ir mas allá de lo que he hecho hasta ahora, si usted ve alguna posibilidad en todo esto, para mi seria muy grato contar por lo menos con su opinión, gracias de nuevo. David Js. Ramos
¡Uff!
Es muy difícil para mí todo lo que planteas. Veo que la persona que te contesta es un buen experto y con mucha paciencia.
Yo lo único que puedo ayudarte es que si la fórmula de la aceleración es la que dice él
![]()
entonces la posición de la quinta partícula con el tiempo sería
x(t) = 4t^2 - 4sen(t^2) + Vo·t + xo
Donde Vo es la velocidad inicial que yo no puedo saber si existe o no ya que estoy apabullado por el problema y xo la posición inicial que ahora mismo tampoco sé cuál es porque no sé si existo, aunque piense.
¡Gracias!
Podría decirle que debido a todo lo que me ha llevado a esto y lo que considero que me falta por realizar, yo tampoco ya se si existo, como Hernan Cortes en la conquista de Mexico, he quemado las Naos, ya no tengo marcha atrás.
Una ultima pregunta si es posible, el siguiente resultado que usted me ofrece podría expresarse como una posición en metros en el eje x.
Yo lo único que puedo ayudarte es que si la fórmula de la aceleración es la que dice él
![]()
entonces la posición de la quinta partícula con el tiempo sería
x(t) = 4t^2 - 4sen(t^2) + Vo·t + xo
Muchas gracias ojala hubiésemos podido trabajar juntos para concluir todo esto puesto que he iniciado una presentación de este mecanismo para otros fines, este tipo de trabajo puede ser presentado de acuerdo al nivel técnico de quien presente la idea o sea el autor intelectual de la idea, pero me gustaría contar con un aliado con mas nivel que el mio y hacer la mejor presentación final posible. David.
No se si fiarme de la fórmula que puso el profesor. Según la Física clásica en ausencia de fuerzas externas el momento lineal es constante. Como al principio el sistema está en reposo el momento lineal es cero y al final el momento lineal también será cero.
Luego la masa que se desplaza en línea recta debe contrarrestar el momento lineal de las otras dos. Estas otras dos se mueven de forma simétrica respecto del eje X, luego la componente y de las velocidades es opuesta y se cancelan entre si, luego el momento lineal de la que se mueve en recto debe ser igual a la suma de los momentos lineales en el eje X de las otras dos
Veo que el 2.546 enmascara a 8/pi ese es el radio exacto para que la cuarta parte de la circunferencia mida 4
La ecuación de movimiento de una de esas masas de un kg es
x = (8/pi)(1-cos(kt))
y = (8/pi) sen(kt)
Y la velocidad será
vx = (8k/pi)·sen(kt)
vy = (8k/pi)·cos(kt)
|v| = (8k/pi) =4
k = pi/2
Luego la velocidad vx en el tiempo será
vx = 4·sen(pi·t/2)
como son dos masas de 1 kg cada una el momento lineal será
p = 8·sen(pi·t/2)
Y la partícula que se desplaza en recto pesa 2 kg y tiene que tener momento lineal opuesto. Luego su ecuación de velocidad es:
vx = -4·sen(pi·t/2)
En todo momento la velocidad de la masa de 2 kg es la misma pero en sentido contrario que la velocidad en el eje X de las otras dos masas luego si en un segundo las dos masas han recorrido 8/pi metros la masa de 2 kg ha recorrido 8/pi metros en sentido contrario y el centro de masas sigue siendo (0,0)
Los milagros no existen.
Es que las masas de 1 kg no van a seguir ese camino por un impulso inicial explosión o lo que sea. Lo que harían libremente sería salir despedidas en línea recta con ciertos ángulos que hagan que el momento lineal sea nulo.
Entonces si se mueven en línea curva es porque se está ejerciendo en todo momento una fuerza sobre ellas. Esa es una fuerza externa si las varillas no las consideras del sistema. Y si las consideras del sistema no se van a quedar de rositas, el empuje que reciban de las masas de 1 kg va a hacer que se muevan, deformen, se pierda energía, etc. y el estudio va a ser muy complejo.
Tu fíjate que si hacemos el estudio sin tener en cuenta lo que pase en las varillas, al aplicar la conservación del momento lineal se deduce que la masa de 2kg empieza con velocidad 0 y luego va aumentando, eso significa aceleración y por lo tanto alguna fuerza que la origine. Lo que en realidad tiene que hacer la masa de 2kg al darle un impulso es salir despedida con velocidad constante y no con movimiento acelerado, luego es un absurdo y hay que tener en cuenta lo que pase con las varillas.
¡Gracias!
En su anterior respuesta donde dice:
"Y la partícula que se desplaza en recto pesa 2 kg y tiene que tener momento lineal opuesto"
Por tanto se asume que :
"como son dos masas de 1 kg cada una el momento lineal será
p = 8·sen(pi·t/2)
Y la partícula que se desplaza en recto pesa 2 kg y tiene que tener momento lineal opuesto. Luego su ecuación de velocidad es:
vx = -4·sen(pi·t/2)"
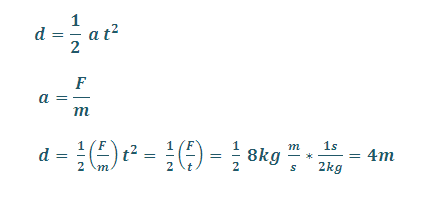
Si es con respecto al ultimo ejemplo que planteo (el cual puede ser el mas intuitivo y mas fácil para mi) aplicando una fuerza constante de 8 N a cada masa de 1 k hacia el sentido -x, como el impulso final de cada masa es 8m/s puesto que el impulso es igual al valor de la integrar de la fuerza en el tiempo, de acuerdo a la tercera ley de Newton, con respecto al eje X, la fuerza que produce esta variación del momento lineal a cada masa en un segundo debe de ser también una fuerza de 8 Ns, en consecuencia como la masa de 2k, debe de tener en cada instante de tiempo el mismo momento lineal que el centro de masas de las dos de 1 kg -x, cumplido el tiempo de 1 seg. debe de tener el mismo momento linea o impulso de 2 kg 8m/ en consecuencia considero que si el impulso es el valor de la integrar de la fuerza en el tiempo es una ecuación, la fuerza debe de derivarse de manera inversa de una relación del impulso en el tiempo, por consecuencia la fuerza media que produce el impulso de la masa de 2 kg. hacia +x es debido a que esta fuerza media contraria a la fuerza media -x, también debe de ser una fuerza media 16 N, de acuerdo a la tercera ley de N, por lo que esta fuerza ha acelerado a la masa de 2 kg 8 m/s, en consecuencia si la distancia que produce esta aceleración durante el segundo debe de estar determinado por F= ma, por tanto:

En este caso, si el impulso que desplaza el centro de masas de la masas de 1 kg, 2.546 m -x es debido a una fuerza media de 8 Ns, esta fuerza si desplaza a cada masa 4 metros que es la cuarta parte de la semicircunferencia puesto que la velocidad es tangente a la trayectoria y el impulso total de 2 kg 8 m/s hacia el sentido -x, debe de ser el producto de una fuerza media total de 16 N, por consecuencia si el impulso de 2 kg 8 m/s hacia el sentido +x, es debido a una aceleración de 8 m/s y por consecuencia como F= ma, porque esta fuerza media producirá a la masa de 2 kg el desplazamiento de 2.546 hacia el sentido +x? si la velocidad es también tangente a la trayectoria rectilínea y por consecuencia porque no se cumple la distancia de 4 m debido a que esta distancia igual al desplazamiento debido a la cambio de velocidad por el tiempo de acuerdo a: 1/2 a*t al cuadrado?.
Finalmente, tengo la siguiente disyuntiva, si el impulso -x de 2 kg 8m/s no es debido a una fuerza media de 16N en un segundo, es posible en un segundo lograr este impulso mediante una fuerza media diferente a 16 Ns?
Sobre mi ultima exposición, quería agregarle esta imagen para definir mejor la disyuntiva que planteo, es decir si, si el impulso hacia el sentido -x o la variación del momento lineal desde cero es en 1 segundo igual a 2 kg*8 m/s, es el producto de una fuerza media, cual es esa fuerza media que produce dicho desplazamiento con una aceleración igual a 8 m/s, que es igual a la aceleración de la masa de 2 Kg +x en el mismo instante de tiempo donde la distancia debe de ser la mitad de la velocidad?

Se me hace difícil entender las cuentas que me dices, ya te dije que la Física no es lo mío.
Yo lo que veo es que tres masas unidas de repente se disgregan, y mientras una de ellas tiene libertad de movimiento las otras dos están encorsetadas por unas varillas. Y entonces sobre esas masas actuan fuerzas que van haciá el centro del círculo ya que si no seguirían una trayectoria recta (se saldrían por la tangente). Y al haber fuerzas ya no tiene sentido aplicar cuentas basadas enla conservación del momento lineal. La masa de 2kg no va esperar a las de 1 kg para mantener ese momento lineal y su ecuación de velocidad no va a contener sen(pi·t/2) sino que será constante v=k. Y el centro de masas se va a desplazar hacía la masa de 2kg, pero será porque no se mantenido el momento lineal porque ha habido unas fuerzas.
Aunque las masas de 1 kg se muevan con velocidad constante tienen una aceleración ya que la velocidad varía de sentido en cada instante. Y donde hay aceleración hay una fuerza que la origina.
Si no hubiera fuerzas las tres masas seguirán caminos rectos con velocidades constantes, con conservación del momento lineal y con centro de masas siempre el (0,0)
Yo es que no puedo argumentar tanto como ese profesor de Física.
¡Gracias!
Le entiendo y por mucho le estoy aun más agradecido por su atención.
Como comprenderás, mis cálculos son más que nada derivados de la intuición y mi propósito es presentarlos con los valores y procedimientos adecuados luego de que puedan ser corroborados por ellos.
Por su disposición, me hubiese gustado que usted y yo hubiésemos podido trabajar en establecer de manera más técnica las magnitudes que se manifiestan en el mecanismo que describo, puesto que aunque en este menester o proceso yo puedo hacerlo de acuerdo a las magnitudes que y he establecido independientemente del procedimiento, puesto que solo podrán quedar invalidados si mediante cualquier otro superior y más preciso método se establecen magnitudes diferentes.
Espero que entienda a que proceso me refiero sin entrar en más detalles a través de este medio, si esto resulta de su interés déjeme saber puesto que las limitaciones en el dominio de la física que usted señala puede ser una ventaja junto a su capacidad en las matemáticas puesto que es el valor final luego de realizar una operación lo que establece el valor final y no asumir que un resultado debe de ser puesto que ya se tiene como cierto en todas las circunstancias. Si esto es de su interés y desea más detalles, por favor déjeme saber para identificar un medio de comunicación más privado.
- Compartir respuesta