Estimación capitulo 8 estadística

1 respuesta

Respuesta
1

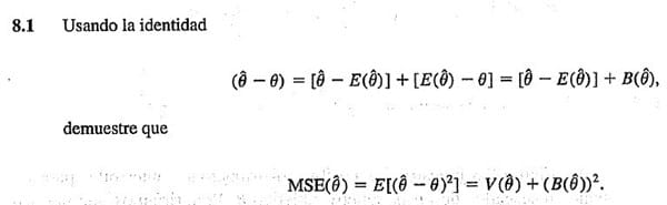
8.1)

$$\begin{align}&MSE(\widehat{\theta})= E[(\widehat{\theta}-\theta)^2]=\\ &\\ &\\ &E([\widehat{\theta}-E(\widehat\theta)+B(\widehat\theta)]^2)=\\ &\\ &\\ &E([\widehat{\theta}-E(\widehat{\theta})]^2)+E([B(\widehat{\theta})]^2)+2E([\widehat{\theta}-E(\widehat{\theta})]B(\widehat{\theta}))=\\ &\\ &\text{Lo primero es la varianza del estimador}\\ &\text{Lo segundo la esperanza de una constante}\\ &\text{luego esa misma constante}\\ &\text{También sale la constante de lo tercero.}\\ &\\ &V[\theta]+ [B(\widehat{\theta})]^2+2 B(\widehat{\theta})· E[\widehat{\theta}-E(\widehat{\theta})]=\\ &\\ &\\ &V[\theta]+ [B(\widehat{\theta})]^2+2 B(\widehat{\theta})· (E(\widehat{\theta})-E[E(\widehat{\theta})])=\\ &\\ &\text{La esperanza tambien es una constante,}\\ &\text{luego su esperanza es ella misma}\\ &\\ &V[\theta]+ [B(\widehat{\theta})]^2+2 B(\widehat{\theta})· (E(\widehat{\theta})-E(\widehat{\theta}))=\\ &\\ &V[\theta]+ [B(\widehat{\theta})]^2+2 B(\widehat{\theta})· (0)=\\ &\\ &\\ &V[\theta]+ [B(\widehat{\theta})]^2\\ &\end{align}$$

Y eso es todo.

Añade tu respuesta

Haz clic para o

Más respuestas relacionadas