¿Cuál es la integral mas difícil?

Quiero saber cual es integral que mas dificultad da resolverla!

Respuesta
4

Habría que concretar mucho mejor la pregunta.

Hay integrales que directamente no tienen función primitiva expresable como funciones elementales, podrías dedicarles toda la vida y no encontrarías la función primitiva, como por ejemplo

$$\begin{align}&\int e^{-x^2}dx\\ &\\ &\\ &\int \sqrt{x^3-1}dx\\ &\\ &\int \frac{senx}{x}dx\\ &\\ &\\ &\int \sqrt{1-k^2sen^2x}\;dx\\ &\\ &\\ &\end{align}$$

Creo que no te referirás a esa sino a las que tienen función primitiva.

Luego, si te pongo una integral que ocupa 10 lineas de texto o 200.000 páginas te va a resultar cuanto menos muy laborioso realizarla.

Luego supongo que querrás referirte a integrales chiquititas pero que son difíciles o llevan mucho trabajo.

Puede haber algunas que se tengan que resolver por cambio de variable pero es dificilísimo dar con él, estas tampoco las consideraré y no las conozco porque los ejercicios que he hecho en mi vida han sido medianamente razonables.

Dentro de las integrales por partes hay algunas que se debe aplicar la integración varias veces, no es difícil, pero puede resultar pesado.

$$\Int x^{12}e^xdx$$

donde se debe aplicar 12 veces la integración o bien dar con el mecanismo adecuado.

Y yo creo que la discusión habería que llevarla a las integrales de las cuales se conoce el método pero te tira para atrás el aplicarlo.

De las que me han mandado que he dicho en buena hora me puse a hacerla las que más me disgustan son las que directamente o tras algún cambio te llevan a una integral raciónal.

Generalmente llevan a estas las binomias o las trigonométricas que necesitan en cambio

t = tg(x/2)

Estas son muy desagradables.

Pues eso, una vez llegado ya a la integral racional. Si el denominador es de grado 3 o superior que haya suerte que se pueden encontrar las raíces porque nadie recuerda la fórmula de una ecuación de grado 3, la de grado 4 es impracticable y a partir de grado 5 no hay método.

Supongamos que se pueden hallar las raíces. Pues como salgan raíces complejas con multiplicidad superior a 1 apaga y vámonos, hay que utilizar el método de Hermite que solo es para los días de mucha fiesta.

En conclusión. Dentro de lo que es medianamente aceptable la más complicada de las que me atrevería a resolver es la que desemboca en una integral racional cuyo denominador tiene raíces complejas múltiples y otras.

Y por supuesto que siempre asesorado por algún programa que me dé la respuesta porque un fallo en las cuentas en esas integrales es lo normal.

Y no sé si esto contesta tu pregunta. Si acaso concrétala más si quieres saber algo específico. Y si ya esta bien no olvides puntuar.

hi

buena respuesta, tiene razón, no fui especifica y ese era mi objetivo! es decir, tengo una una gran curiosidad en una mitología extraña de las integrales. Esa que dicen, "hay una integral que solo un matemático apasionado sabría resolver o solo la apreciaría". Creo que todo tiene una respuesta en las matemáticas! :) Y solo he visto esa integral una vez, con una combinación muy extraña!!

por eso, mil gracias!

(Luego supongo que querrás referirte a integrales chiquititas pero que son difíciles o llevan mucho trabajo.
Puede haber algunas que se tengan que resolver por cambio de variable pero es dificilísimo dar con él, estas tampoco las consideraré y no las conozco porque los ejercicios que he hecho en mi vida han sido medianamente razonables.
Dentro de las integrales por partes hay algunas que se debe aplicar la integración varias veces, no es difícil, pero puede resultar pesado.

saludos! take care!

2 respuestas más de otros expertos

Respuesta
3

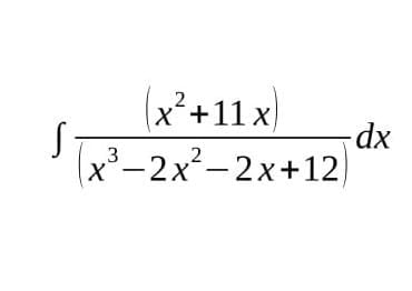
A ver, intenta esta

Respuesta
2

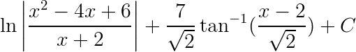
ln[(x^2 -4x +6)/(x+2)] +(7/)arctan[(x-2)/] +C

Cualquier inquietud sobre su forma de elaborar el proceso con gusto la resolveré en el correo

[email protected]

Puedo enviar imagen del proceso manual

Añade tu respuesta

Haz clic para o

Más respuestas relacionadas