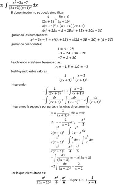
Resolver esta Integral por fracciones racionales

Como siempre, ¿podrías decirme que me salió mal?

Gracias de Antemano

1 respuesta

Respuesta
1

Fred Ro!

·

No se me hubiera ocurrido a mi integrar esa que dices por partes, pero aparte lo has hecho bastante mal, has pasado de u a du integrando, cuando hay que derivar, y has cambiado un signo 1+x por 1-x.

La parte del cálculo de las constantes A, B, C está bien, aunque necesitaría alguna de esas explicaciones que cuando la persona está en directo la das de palabra, pero cuando lo dejas por escrito hay que escribirlas y fastidia mucho hacerlo. Empiezas con numeradores y denominadores y de repente desaparecen los denominadores sin decir nada, a eso me refería.

Entonces continuo después de calculadas.

$$\begin{align}&-\int \frac{dx}{2x+3}+\int \frac{x-2}{(x+1)^2}dx=\\&\\&\text{separar en dos la segunda no es lo mejor}\\&\\&-\frac 12ln|2x+3|+\int \frac{x-2}{x^2+2x+1}=\\&\\&-\frac{ln|2x+3|}{2}+\frac 12\int \frac{2x-4}{x^2+2x+1}dx=\\&\\&\text{Ajustamos para que quede la derivada de un}\\&\text{logaritmo más algo}\\&\\&-\frac{ln|2x+3|}{2}+\frac 12\int \frac{(2x+2)-6}{x^2+2x+1}dx=\\&\\&\text{y ahora es el momento de separar}\\&\\&-\frac{ln|2x+3|}{2}+\frac 12\int \frac{2x+2}{x^2+2x+1}dx+\frac 12\int \frac{-6\;dx}{x^2+2x+1}=\\&\\&-\frac{ln|2x+3|}{2} +\frac{ln|x^2+2x+1|}{2}+3\int \frac{-1}{(x+1)^2}=\\&\\&-\frac{ln|2x+3|}{2}+\frac 12 ln (x+1)^2+\frac{3}{1+x}+C=\\&\\&\\&-\frac{ln|2x+3|}{2}+ln |x+1|+\frac{3}{1+x}+C\\&\\&\\&\\&\end{align}$$

Y eso es todo.

Añade tu respuesta

Haz clic para o

Más respuestas relacionadas