Despejar t utilizando las propiedades de los logaritmos.

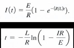
En un circuito sencillo en serie, formado por un voltaje constante E, una inductancia de L henries y una resistencia de R ohms, se puede demostrar que la corriente I(t) es: I(t) = E/R (1 - e^-(R/L)t). Despeje t en función de los otros símbolos.


Nota: Me interesa el desarrollo para llegar a la respuesta que da el libro, gracias!
Respuesta del Libro Pre cálculo de Zill: t = -L/R ln (1 - IR/E)

1 respuesta

Respuesta
1

Cuando se escriben expresiones en una línea se pierde mucha información que hay que saber suplir muy bien con los paréntesis. Indícame cuál de estas dos expresiones es:

$$\begin{align}&I(t) = \frac ER(1-e^{-\frac Rlt})\\ &\\ &\\ &\\ &I(t) = \frac E{R(1-e^{-\frac Rlt})}\end{align}$$

O incluso otra porque el exponente tampoco está nada claro.

Espero la aclaración.

O si tienes la dirección del libro pasámela junto con la página del ejercicio.

Hola! Es la primera expresión, gracias!

http://www.elsolucionario.net/precalculo-con-avances-de-calculo-zill/

Capitulo 5, página 317, ejercicio 33.

respuesta

Lo que veo es que en la respuesta no la llaman I(t) sino I a secas, haré lo mismo

$$\begin{align}&I = \frac ER(1-e^{-\frac RLt})\\ &\\ &\text{Pasamos E y R al otro lado invirtiéndolo}\\ &\\ &\\ &\frac {IR}E=1-e^{-\frac RLt}\\ &\\ &\text{pasamos de izquierda a derecha y viceversa}\\ &\\ &e^{-\frac RLt}=1-\frac {IR}E\\ &\\ &\text{extraemos logaritmos neperianos}\\ &\\ &-\frac RLt = ln \left(1-\frac {IR}E  \right)\\ &\\ &\text{pasamos el }- \frac{R}{L} \text{ al otro lado}\\ &\\ &t =-\frac LRln \left(1-\frac {IR}E  \right)\\ &\end{align}$$

Y eso es todo.

Añade tu respuesta

Haz clic para o

Más respuestas relacionadas