¿Cuáles son las integrales directas?
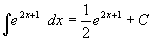
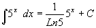
Cuales son las integrales directas y cual es la fórmula de una integral exponencias.
1 respuesta
Respuesta de magaka0
1

