Yani Juarez

Yani Juarez

 México @yanijuarez desde - visto
Preguntar

Preguntas

Pregunta en y en 3 temas más

Sea b>1 fijo: Si m,n,p,q son enteros, n>0, q>0, y r=m/n=p/q, demuestre que:(b^m)^(1/n)=(b^p)^(1/q)

Propiedades de los números reales Sea b>1 fijo. Si m, n, p, q son enteros, n>0, q>0, y r=(m/n)=p/q, demuestre que: (b^m)^(1/n)=(b^p)^(1/q). Por lo tanto tiene sentido definir b^r=(b^m)^(1/n). [Sean y1=(b^m )^(1/n), y2=(b^p )^(1/q). Observemos que...
Sin respuestas
Pregunta en y en 2 temas más

Sea E un subconjunto no vacío de un conjunto ordenado; suponga que α es una cota inferior de E y β es una cota superior de E.

Propiedades de los números reales Sea E un subconjunto no vacío de un conjunto ordenado; suponga que α es una cota inferior de E y β es una cota superior de E. Demuestre que α≤β
Pregunta en y en 2 temas más

Demuestre que no existe número racional cuyo cuadrado sea 12

Me puedes ayudar es en lógica Demuestre que no existe número racional cuyo cuadrado sea 12
Pregunta en y en 3 temas más

Determina h y k de modo que la ecuación diferencial antes escrita, se pueda escribir en la forma: dY/dX=(X+Y)/(X-Y)

Ecuaciones diferenciales Considera la ecuación diferencial: Esta ecuación podría resolverse si no estuvieran presentes las constantes 1 y 3. Para eliminar estas constantes, realiza la sustitución x=X+h, y=Y+k. 1. Determina h y k de modo que la...
Pregunta en y en 3 temas más

Utiliza el método de la transformada de Laplace para resolver el siguiente problema de condiciones iniciales

Transformada de Laplace Utiliza el método de la transformada de Laplace para resolver el siguiente problema de condiciones iniciales:
Pregunta en y en 3 temas más

Demuestra que el disco unitario en R2 no​ es compacto

Compacidad Utilizando​​la​​definición​​de​​compacidad​​con​​cubiertas​​abiertas​, demuestra que el disco unitario en R 2 no​ es compacto. Recuerda que el disco unitario es el conjunto D^2={(x,y)∈R2 | x^2+y^2 <1}
Pregunta en y en 3 temas más

Evaluar la siguiente integral ∫(cos(√t),In (2t+1),tan^6(t), sec^4(t)) dt

Integral con varias variables Evaluar la siguiente integral ∫(cos(√t), In (2t+1), tan^6(t), sec^4(t)) dt
Sin respuestas
Pregunta en y en 3 temas más

Encontrar una función vectorial que representa la curva

Función vectorial Encontrar una función vectorial que representa la curva de intersección de las superficies x^2+y^2 =1 y z=x^2.
Pregunta en y en 4 temas más

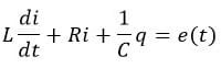
Encuentra la corriente resultante en el circuito.

Transformadas de Laplace Recordando la ecuación básica de circuitos en serie: Si q(0)=0, podemos considerar: Y reescribir la primera ecuación como: La cual es una ecuación integrodiferencial de un circuito RLC en serie, ya que involucra integrales y...
Sin respuestas
Pregunta en y en 3 temas más

Expresa f en términos de funciones escalón unitario

Transformada de Laplace Sea f(t)=1 si 0≤t≤a, f(t)=0 si t>a (con a > 0). 1. Expresa f en términos de funciones escalón unitario 2. Demuestra que L(f(t))=s^(-1) (1-e^(-as))