Encuentra la corriente resultante en el circuito.
Transformadas de Laplace
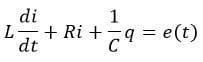
Recordando la ecuación básica de circuitos en serie:

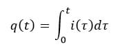
Si q(0)=0, podemos considerar:

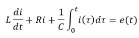
Y reescribir la primera ecuación como:

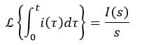
La cual es una ecuación integrodiferencial de un circuito RLC en serie, ya que involucra integrales y derivadas. Afortunadamente, el método de transformadas de Laplace funciona en este tipo de ecuaciones. Además se tiene que:

En base a lo anterior, considera el circuito RLC en serie, con R=110 ohmios, L=1 H, C=0.001F y una batería que proporciona E_0=90V. Originalmente no hay corriente en el circuito ni carga en el condensador. En el instante t=0 se cierra el interruptor y se deja así por un segundo. Al tiempo t=1 es abierto y se deja así. Encuentra la corriente resultante en el circuito.