Actividad pública reciente
Ha valorado "Excelente" la respuesta
EXPERTO lista registros únicos con filtro entre fechas
Ha valorado "Excelente" la respuesta
EXCEL - Buscar y colocar FECHA que corresponde al ultimo registro
Ha valorado "Buena" la respuesta
Cdate VBa - Excel a una columna
Selecciona toda la columna Presiona Ctrl + L para reemplazar Cambia / por / (si... es verdad aparentemente no estoy cambiando nada!) Excel debería reconocer los valores en las celdas
Ha valorado "Excelente" la respuesta
Colocar la fecha que corresponde al registro ingresado
Ha valorado "Buena" la respuesta
Última fecha de registro excel
Ha empezado a seguir a
Voto positivo a la respuesta
Autonumérico al ingresar datos en planilla excel
Prueba con lo siguiente: Private Sub CommandButton1_Click() 'Act.Por.Dante Amor ActiveSheet.Cells(2, 1).EntireRow.Insert mayor = Application.Max(Columns("A")) If mayor < 2000 Then mayor = 2000 Else mayor = mayor + 1 End If ActiveSheet.Cells(2, 1) =...
Ha cambiado su perfil.
- Ha cambiado la información de educación.
Ha respondido en
Matemáticas
y en 3 temas más
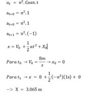
Problema de aceleración de una partícula para resolver con integrales
Mejores respuestas proporcionadas
Educación
-
TECSUP




