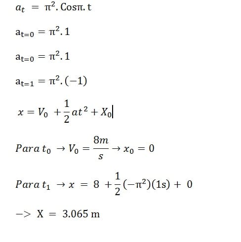
Problema de aceleración de una partícula para resolver con integrales

Buenas tardes sigo con mi taller ya casi termino les agradezco su ayuda es fundamental para mi estudio a distancia
Respuesta de Wilmer Encarnacion
1
1 respuesta más de otro experto
Respuesta de Valero Angel Serrano Mercadal
3

