Valero Angel Serrano Mercadal

Valero Angel Serrano Mercadal

Me voy x tiempo. Necesito hacer otras cosas, descansar y que cambien algunas cosas.
 5.867K puntos  Aragón, España @valeroasm desde - visto

Respuestas en Matemáticas

Respuesta en a

Tarea de matemáticas ejercicio monomio por polinomio

· · ¡Hola Juan David! La multiplicación de monomio por polinomio es sencilla, otra cosa sería la de polinomio por polinomio. Tendrás que usar la propiedad distributiva y entonces los que te quedará es la suma de cuatro multiplicaciones de monomio por...
Respuesta en y en 1 temas más a

Problema.Una asociación contra el cáncer de niños se encarga de recolectar tapas de refrescos.

· · ¡Hola Pablo! Este es un problema mítico por lo mal escrito que está, pero con esfuerzo y alguna corrección que se han visto obligados a hacer los profes se está aclarando algo aunque aun les falla que no entienden lo que significa la función...
Respuesta en y en 1 temas más a

Una asociación para niños con cáncer ( hay cambios)

· · ¡Hola Amónimo! Este era un ejercicio incomprensible al principio y lo han ido mejorando con algún vídeo posterior no llegando a corregirlo del todo pero algo. En la parte de la gráfica ya entendí cómo se hace y la he hecho de esa forma que piden....
Respuesta en y en 1 temas más a

“Funciones”, “La antiderivada”, “Teorema fundamental del Cálculo” y “La derivada.

· · ¡Hola Anónimo! Este problema ya lo resolví aquí con gran polémica con mucho esfuerzo porque el enunciado era un desastre: Tapas para investigar el cáncer Estoy viendo en vídeo y veo algún progreso, se corrige lo que no es una ecuación sino una...
Respuesta en a

Cómo apoyo la respuesta a un ejemplo social o natural

· · ¡Hola Gaby! Sea una máquina que has comprado para hacer cualquier objeto por ejemplo bufandas. La máquina funciona a pleno rendimiento al principio pero con el tiempo funciona peor, necesita más reparaciones y llega un momento en que origina más...
Respuesta en y en 1 temas más a

Verifique que f(x)=2x /k(k+1) para x=1,2,3,..., k pueda servir la distribucion de probabilidad de una variable aleatoria

· · Para ser una función de distribución deberá ser no negativa y la suma de todas las probabilidades deberá ser uno. Que no es negativa salta a la vista, x es positivo, k es positivo y k+1 es positivo, y las operaciones dan un resultado positivo. Y...
Respuesta en a

Como explicar este ejercicio de las tapas de asociación de cáncer

· · ¡Hola Anónimo! El problema lo han cambiado pero no para corregirlo sino para que las respuestas que hemos dado no sirvan. Y como no está corregido el enunciado es un problema completamente carente de sentido. Aquí tienes todo lo que he hecho:...

En un tiempo…Para realizar este proyecto, es necesario leer y comprender los temas: “Funciones”, “La antiderivada”, “Teore

· · ¡Hola Gisela! Aquí tienes todo la historia de esta pregunta que le han puesto un mal enunciado y los maestros de la prepa no la saben resolver. Yo te doy la interpretación y resolución correcta que tiene un problema de este tipo, pero ellos no...
Respuesta en a

Conocer el Dominio y Ambito en Gráficas

· · ¡Hola Gerson! La notación con corchete al revés ]4, 3[ No está homologada ni lo estará en la vida para mi. Cuando en una línea juntas unos cuantos intervalos es imposible ver después de un golpe de vista cuáles son los que abren y cuáles los que...
Respuesta en y en 2 temas más a

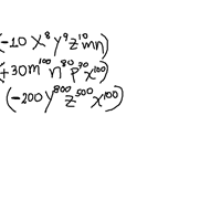
Tarea de matemáticas multiplicacion de polinomios

· · ¡Hola Juan David! Para mutiplicar polinomios se multiplican los coeficientes y con las letras lo que se hace es que se suman los exponentes. Por supuesto que los coeficientes se multiplican con el signo que tienen y que los exponentes tambíen se...