Tarea de matemáticas multiplicacion de polinomios
Realizar las siguientes

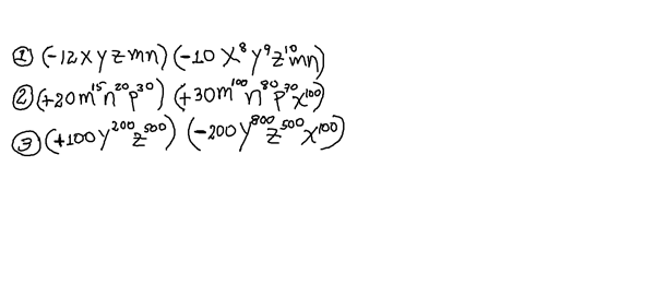
Multiplicaciones de polinomios (monomio por monomio)
Respuesta de Valero Angel Serrano Mercadal
1
1 respuesta más de otro experto
Respuesta
1