Valero Angel Serrano Mercadal

Valero Angel Serrano Mercadal

Me voy x tiempo. Necesito hacer otras cosas, descansar y que cambien algunas cosas.
 5.867K puntos  Aragón, España @valeroasm desde - visto

Respuestas en Matemáticas

Respuesta en a

Plantea una situación real que involucre movimiento lineal

· · ¡Hola Merii! Algunos compañeros me han puesto un problema para que les diera la función. Para los que no ya he desarrollado hasta cuatro problemas te los paso pero convendría que les cambiases algo el enunciado: Tiempo en recorrer x kilómetros,...
Respuesta en a

Hacer documento donde presentes el planteamiento, y una tabla

· · ¡Hola Merii! Ya he respondido hace unos días a esa pregunta. Aquí te dejo el enlace con la respuesta: Cibercafé, salón y camión No olvides volver luego aquí para valorar la respuesta. Sa lu dos. : :
Respuesta en a

Como resolver un problema de función exponencial

· · ¡Hola Evelin! Los primeros 8 días la colonia de mosquitos crecerá en progresión geométrica de razón 3. La formula de la población es: · b) Esta es la gráfica. · c) Nos dicen que se extingue cuando vuelva a haber 7000 mosquitos Esos son los días...
Respuesta en y en 1 temas más a

Se mide la cantidad de agua que sale de una manguera y se encuentra que una cubeta de 50 Litros se llena en 10 segundos:

· · ¡Hola Mindy! a) Para no armarnos un lío sobre si hay que multiplicar o dividir qué entre qué lo haremos con regla de tres: 1000 litros ------> 1 m^3 50 litros ------> x Es una regla de tres directa obviamente x = 50·1 / 1000 = 0.05m^3 · b)...
Respuesta en y en 1 temas más a

Se lanza una bala hacia abajo, a través de una mezcla que contiene arena y un líquido. Al pasar a través d

· · ¡Hola Mauricio! Supongo que v3 es raíz de 3. No escribas v3 escribe raíz(3) o sqrt(3) que es la denominación internacional. Cuando la aceleración o deceleración es constante se usan estas fórmulas: Otra cosa que suele hacerse pero yo no sé si...
Respuesta en y en 1 temas más a

Tengo duda sobre mi tarea de calculo, matemáticas...¿?

· · ¡Hola Yolanda! Ya contesté esa pregunta hace unos días. Aquí tienes el enlace de la respuesta: Cibercafé, salón y camión No olvides volver luego aquí para valorar la respuesta. Sa lu dos. : :
Respuesta en a

¿Como ejemplificar una función lineal?

· · ¡Hola Yolanda! Otros proponen una situación. Para los que no proponéis nada ya he hecho tres ejemplos, te los paso: Tiempo necesario para recorrer x kilómetros, el segundo Avión que desciende, tercero Helicóptero que sube y el cuarto Kilómetros...
Respuesta en a

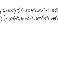
Tarea de matemáticas hacer las siguientes multiplicaciones

¡Hola Juan! Aparte de no ver las respuestas algunas veces, otras la fórmulas se van a la parte de arriba y no deja borrarlas, hay que hacer un complejo proceso para dejarlo bien. Y estoy tan harto de los problemas de la página que lo dejo así, arriba...
Respuesta en a

Función lineal, una fábrica de refrescos

· · ¡Hola Anónimo! Vemos que el número de botellas y el tiempo son magnitudes proporcionales ya que el cociente es el mismo todas las veces. 250 / 2 = 125 500 / 3 = 125 1000 / 8 = 125 Con las medidas puestas sería: 250 botellas / 2 horas = 125...

Situación real que involucre movimiento lineal

· · ¡Hola Alejandro! Por una parte dices que la vivienda cuesta 800.000, pero luego en las cuentas pones 1.000.000 Deberás ponerte de acuerdo. Supongo que la función que quieres calcular es la cantidad de dinero que te falta por pagar en tal mes....