Tarea de matemáticas hacer las siguientes multiplicaciones

Realizar las siguientes multiplicaciones con todos los pasos bien ordenados.

1 respuesta

Respuesta
1
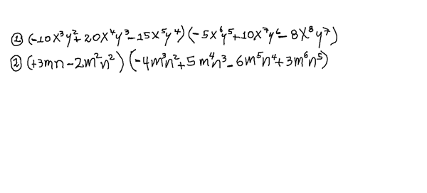
$$\begin{align}&(-10x^3y^2+20x^4y^3-15x^5y^4)(-5x^6y^5+10x^7y^6-8x^8y^7)=\\&\\&50x^9y^7-100x^{10}y^8+80x^{11}y^9-100x^{10}y^8+200x^{11}y^9-160x^{12}y^{10}+\\&75x^{11}y^9-150x^{12}y^{10}+120x^{13}y^{11}=\\&\\&\text{Y ahora si vemos términos semejantes los sumamos}\\&\\&= 50x^9y^7-200x^{10}y^8+ 355x^{11}y^9-310 x^{12}y^{10}+120x^{13}y^{11}\\&\\&\text{y si no nos gusta así porque queremos las x más grandes}\\&\text{al principio con dar la vuelta sale así.}\\&\\&\\&\\&(3mn-2m^2n^2)(-4m^3n^2+5m^4n^3-6m^5n^4+3m^6n^5)=\\&\\&-12m^4n^3+15m^5n^4-18m^6n^5+9m^7n^6+\\&+8m^5n^4-10m^6n^5+12m^7n^6-6m^8n^7=\\&\\&-12m^4n^3+23m^5n^4-28m^6n^5+21m^7n^6-6m^8n^7\\&\end{align}$$

¡Hola Juan!

Aparte de no ver las respuestas algunas veces, otras la fórmulas se van a la parte de arriba y no deja borrarlas, hay que hacer un complejo proceso para dejarlo bien. Y estoy tan harto de los problemas de la página que lo dejo así, arriba tienes la solución.

Saludos.

:

:

Juan David!

Por favor, sube la puntuación e Excelente, es imprescindible para recibir nuevas respuestas. Puedes hacerlo abajo pinchando en el botón que pone votada.

Sa lu dos.

Aparece valorada como normal. Recuerda que para responder más preguntas tuyas debes subir la valoración a Excelente.

Añade tu respuesta

Haz clic para o
El autor de la pregunta ya no la sigue por lo que es posible que no reciba tu respuesta.

Más respuestas relacionadas