Valero Angel Serrano Mercadal

Valero Angel Serrano Mercadal

Me voy x tiempo. Necesito hacer otras cosas, descansar y que cambien algunas cosas.
 5.867K puntos  Aragón, España @valeroasm desde - visto

Respuestas en Cálculo

Respuesta en y en 3 temas más a

Resolver los siguientes cálculos integral

· · ¡Hola Andrés! Vamos a hacer modificaciones de forma, pero no de valor, que hagan que tengamos dentro de la integral la derivada exacta de un arco seno. Y eso es todo, sa lu dos. : :
Respuesta en y en 4 temas más a

Resolver y Evaluar las siguientes integrales

· · ¡Hola Esneider! Si te dejaran usar funciones hiperbólicas sería casí coser y cantar. Pero como sé que no las conocéis porque muchos me mandáis las mismas integrales, te diré que esta es una integral muy jodida, aunque suene feo eso es lo que es....
Respuesta en y en 2 temas más a

Problema con ejercicio de matemática

· · ¡Hola Esneider! Es una integral impropia. Lo suyo es efectuarla con la notación de límites y todos los pasos, aunque en la practica se hacen de manera similar a las normales sin poner nada de límites pero calculándolo al final. Pero vamos a...
Respuesta en y en 3 temas más a

El tema es de análisis calculo

· · ¡Hola Esneider! Es una sencilla integral, solo hay que cambiar la notación radical por exponencial. ¡AHHHHH! Para, que es una integral impropia, habrá que tomar límites de las integrales hasta 0 y desde 0 Bueno, hay muchas veces que la itegral...
Respuesta en y en 3 temas más a

Resolver solucionar las siguientes integrales

· · ¡Hola Esneider! Resulta obvio que el cambio debe ser t=cosx, ya que así el numerador quedará absorbido con la diferencial. Usaré el cambio simultáneo de los límites de integración, que sé que es algo poco popular pero hay que aprender a hacerlo....
Respuesta en y en 2 temas más a

El tema es de análisis matemáticas calculo

· · ¡Hola Andrés! ¿Habéis dado las funciones hiperbólicas? Seno hiperbólico, coseno hiperbólico, etc. ¿O os han dicho que se tiene que resolver por cambio trigonométrico? Espero la aclaración. Sa lu dos. : :
Respuesta en y en 3 temas más a

Como resolver este ejercicio de calculo integral

· · ¡Hola Andrés! Hay que saber la técnica de integrar por partes dos veces par volver a la integral inicial y a partir de ello deducir el resultado, si no no la resolverás. Y eso es todo, sa lu dos. : :
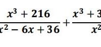
Respuesta en y en 1 temas más a

Determine el valor de la variable por en la siguiente ecuación

· · ¡Hola Manuela! Veo que se pueden hacer muchas simplificaciones. Y la comprobación es una tarea muy pesada, si acaso manda una pregunta para que la haga. NO olvides valorar antes esta. Saludos. : :
Respuesta en y en 2 temas más a

Necesito hallar la derivada de sen^3(x)cos^2(x)

· · ¡Hola Anyara! Usaremos estas reglas. Y eso es todo, sa lu dos. : :
Respuesta en y en 1 temas más a

Determine el valor de la variable por en la siguiente ecuación y compruebe su solución

· · ¡Hola fabiancho! Estoy viendo que se pueden hacer algunas simplidicaciones pero es una pasada. Y eso es todo, la comprobación sobre la ecuación original es capaz de fundir el ordenador en el editor de fórmulas, cuanto menos deberías mandarla en...