Valero Angel Serrano Mercadal

Valero Angel Serrano Mercadal

Me voy x tiempo. Necesito hacer otras cosas, descansar y que cambien algunas cosas.
 5.867K puntos  Aragón, España @valeroasm desde - visto

Respuestas en Cálculo

Respuesta en y en 3 temas más a

Más dudas acerca de los sólidos de revolución

· · ¡Hola Brenda! Esta es la gráfica de la región del plano que hay que girar sobre el eje X La fórmula para el volumen es:
Respuesta en y en 1 temas más a

Resolver ejercicios de los limites

· · ¡Hola Henry! Como en todo este tipo de límites 0/0, se multiplica y divide por el conjugado del numerador o denominador que tiene dos sumandos y alguno de ellos es una raíz cuadrada, de esa forma desaparecen esas raíces cuadradas : :
Respuesta en y en 1 temas más a

Como se resuelve esta integral indefinida

: : ¡Hola Juna! Es que esta integral es complicada, solo se me ocurre resolverla con el cambio trigonométrico universal y eso es siempre costoso. Imagino que habrás dado ese cambio y en la teoría tendrás por lo que tienes que sustituir senx, cosx y...
Respuesta en y en 1 temas más a

Resolvre ecuaciones diferenciales paso a paso hallando el factor integrante si puede explicar

· · ¡Hola Albert! La forma canónica es
Respuesta en y en 1 temas más a

Se debe considerar una placa circular

:) :) ¡Hola Mila! Debemos hallar los puntos críticos de la función, después comprobar si son máximos o mínimos. Y dependiendo de lo que salga los maxímos absolutos serán los máximos relativos hallados o estarán en la frontera de la placa. Calculamos...
Respuesta en y en 1 temas más a

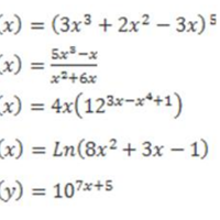
Como aplicar las reglas de derivación en lass siguientes derivadas (parte 2)

· · ¡Hola Chamaca! . .
Respuesta en y en 1 temas más a

Como obtego un incremento de utilidad

· : ¡Hola Chamaca! U(X)=670X^3 + 20X - 5000000 a) Calculamos las utilidades con 200 y con un 25% más, que es 200+ 25% de 200 = 200 + 0.25·200 = 200+50 = 250 La pregunta no debe ser cómo son los ingresos sino cómo es la utilidad. Y la utilidad es...
Respuesta en y en 1 temas más a

Determina la función de elasticidad de la demanda

· · ¡Hola Chamaca! La función elasticidad puntual que resulta de aplicar las reglas del cálculo diferencial es esta. ·
Respuesta en y en 1 temas más a

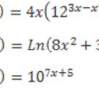
Como aplicar las reglas de derivación en las siguientes derivadas.

· · ¡Hola Chamaca! Yo doy todos los pasos, imagino que conoces las reglas, si no entiendes algún paso pregúntamelo. De este tipo de ejercicios siempre hemos hecho dos por pregunta, resolveré los dos primeros. Y eso es todo, manda los otros tres en...
Respuesta en y en 1 temas más a

Como obtener el Ingreso real a partir del Ingreso marginal

· : ¡Hola Chamaca! No coincide el titulo con el enunciado. Hay dos posibilidades. 1) Si I(x)= 400x + 30 es la función ingreso Eso es lo que dice el enunciado, entonces el ingreso real por la venta del artículo 101 es el ingreso por vender 101 menos...