Como aplicar las reglas de derivación en lass siguientes derivadas (parte 2)
Ejercicio 1. Aplicación de reglas de derivación
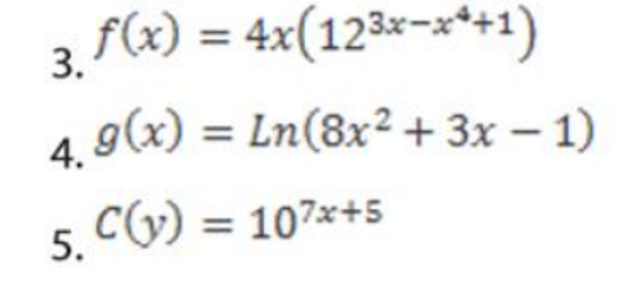
Desarrolla las siguientes derivadas utilizando las fórmulas y reglas de derivación.

1 respuesta
Respuesta de Valero Angel Serrano Mercadal
1