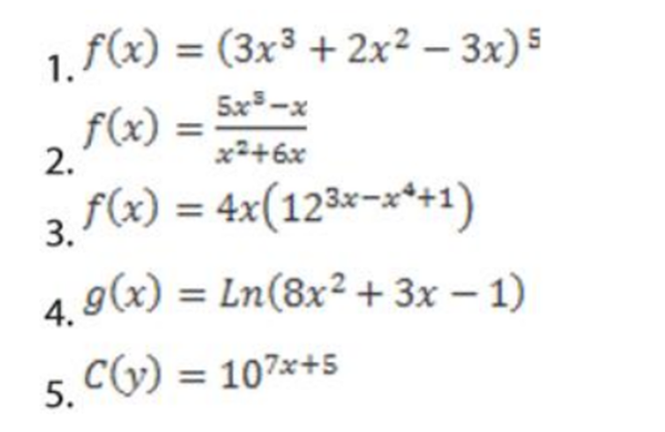
Como aplicar las reglas de derivación en las siguientes derivadas.
Ejerció 1. Aplicación de reglas de derivacón.
Desarrolla las siguientes derivadas uilizando las fórmulas y reglas de derivación

1 respuesta
Respuesta de Valero Angel Serrano Mercadal
1
