Ulises  Garcia

Ulises Garcia

Compromiso en cada una de mis acciones, para que cada uno de mis esfuerzos se conviertan en logros.
 Cancún, México @ulisesgarcia desde - visto
Preguntar

Preguntas

Pregunta en

Determina la función de elasticidad precio de la demanda.

Tipo de elasticidad si el precio es de $5.? ...
Pregunta en

Mediante derivación, determina el precio al que la utilidad es máxima, y calcule ese valor óptimo.

¿Cómo va este problema? Mediante derivación, determina el precio al que la utilidad es máxima, y calcule ese valor óptimo.
Pregunta en

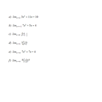
Para las funciones determina el límite indicado en cada una, realizando los procedimientos correspondientes.

Ya me habian ayudado con este ejercicio, pero me dicen lo siguiente al momento de revisarlo. Esta es la primera solución que se había respondido. Este tiene interés, si lo evaluamos da 0/0 (9 - 32) / (3-3) = (9-9) / (3-3) = 0 / 0 Y lo que se debe...
Pregunta en

¿Análisis Marginal (Determinar Funciones) como quedarían?

Como podría resolverse los siguientes casos, espero me puedan echar la mano.
Pregunta en

Incremento de utilidad y elasticidad de la demanda

Primera parte: De La función de demanda para un producto es Calcula lo siguiente: El cambio en el precio si la cantidad demandada pasa de 5 a 20 unidades.La tasa de cambio promedio dadas las condiciones del inciso anterior.La elasticidad precio de la...
Pregunta en

Determina la tasa de cambio del precio con respecto a la cantidad demandada.

Primera parte: La función de demanda de un producto de su empresa es p(q)=100-q2. Determina la tasa de cambio del precio con respecto a la cantidad demandada. ¿Qué tan rápido está cambiando el precio cuando q=5? ¿Cuál es el precio del producto cuando...
Pregunta en

Como llevar a cabo las siguientes Funciones?

Determina los límites que se indican a continuación: como resolver?
Pregunta en

¿Cómo quedaría representado las siguientes funciones?

Primera parte Para las funciones determina el límite indicado en cada una, realizando los procedimientos correspondientes.
Pregunta en

Quien me aclara estos ejercicios de funciones continuas?

Primera parte Realiza la gráfica de la siguiente función, indique por dónde atraviesa el eje de las “y’s”, o sea la ordenada al origen, calcula los límites cuando “x” tiene a 2 y explica si la función es continua precisamente en x=2 y porqué es o no...

Suscríbete RSS