Sophia Isabelle Chloe

Sophia Isabelle Chloe

 1.665 puntos  México @sophiaisabellechloe desde - visto
Preguntar

Preguntas

Pregunta en

Una parábola con vértice en el origen, foco en (0,1/8), cual es su la ecuación

Cual es la ecuación de la parábola con vértice en el origen, foco en y las ecuaciones opcionales son
Pregunta en

La ecuación de la circunferencia es, si se tiene un radio de 9

¿Cuál es la ecuación de la circunferencia con centro en * y radio igual a 9?
Pregunta en

Cuando una recta intersecta al eje X & Y cual viene siendo su...

Cuál es la ecuación de la recta que intersecta al eje x en (1/2, 0) y al eje y en (0, -¿3/5)? A) 5x-6y-10=0 B) 5x-6y-1=0 C) 6x-5y-3=0 D) 6x+5y-3=0
Pregunta en

Recta pasa por los puntos A y B cual es su ecuacion

¿Si la recta pasa por los puntos A(5,7) y B(-4,3) cual es la ecuación de la recta? A) 10x+y-37=0 B) 4x-9y+43=0 C) 4x+9y-11=0 D) 10x -y +43=0 Si la recta pasa por los puntos A(-2, -¿1/2) y B(-1/5,3) cual es la ecuación de la recta? A) 11x+2y+21=0B)...
Pregunta en

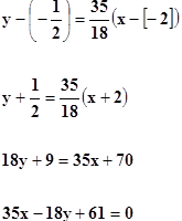
La Ecuación de la recta con pendiente igual a 3/5 y -2 es

¿Cuál es la ecuación de la recta con pendiente igual a 3/5 y pasa por el punto (5,7)? Cual es la ecuación de la recta con pendiente igual a -2 y pasa por el punto (1/3,-4)?
Pregunta en

Si el punto P y Q son los extremos de una recta, ¿Entonces sus coordenadas son?

Si P ( 2, -1 ) y Q ( -3, 2) son los extremos de un segmento de recta, ¿Entonces cuáles son las coordenadas de su punto medio? A) (5/2, 3/2) B) (1/2 , -1/2) C) (-1/2 , 1/2) D) (-5/2 , -3/2)
Pregunta en y en 1 temas más

Cual es el valor de la pendiente M1 si una recta con pendiente m2

Una recta con pendiente M2=-3/5 intersecta a otra recta con pendiente M1 formando un angulo de 135 grados entre ellas. ¿Cuál es el valor de la pendiente M1? A) 4 B) 1/4 C) -1/4 D) -2
Pregunta en

Si L es una recta cuya pendiente es -2 entonces dtermina

¿Cuál de las siguientes parejas de puntos determinan una recta perpendicular a L? A) (0,4) , (2,0) B) (2,2) , (4,1) C) (2,1) , (4,2) D) (0,-4) , (2,0) ¿Cuál de las siguientes parejas de puntos determinan una recta paralela a L? A) (-4,5) , (3,3)B)...
Pregunta en

De las siguientes parejas de ecuaciones cual corresponde a R.PERPEND

De las ecuaciones que se muestran abajo cual pareja corresponde a dos rectas perpendiculares.