Pregunta en
Ingeniería Electrónica
y en 2 temas más
Función Booleana con puertas de OR
Sin respuestas
Pregunta en
Ingeniería Electrónica
y en 2 temas más
Diagrama lógico de expresiones Booleanas
Sin respuestas
Pregunta en
Matemáticas
y en 1 temas más
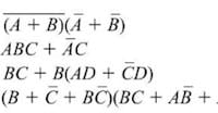
Me podrían Resolver las siguientes Expresiones Booleanas
Me podrían ayudar a resolver los siguientes ejercicios: Simplifique las siguientes expresiones booleanas a las expresiones conteniendo un numero mínimo de literales:
Sin respuestas
Pregunta en
C y C++
y en 3 temas más
Diagrama de arboles binarios de búsqueda
Pregunta en
Ingeniería Electrónica
y en 2 temas más
Obtén, el diagrama lógico.
Pregunta en
Matemáticas
y en 1 temas más
Obtén la función reducida y el diagrama lógico
Pregunta en
Ingeniería Electrónica
y en 1 temas más
Resolver Aplicaciones básicas de la lógica combinacional,
Pregunta en
Matemáticas
y en 2 temas más
