Me podrían Resolver las siguientes Expresiones Booleanas
Me podrían ayudar a resolver los siguientes ejercicios:
Simplifique las siguientes expresiones booleanas a las expresiones conteniendo un numero mínimo de literales:
![]()

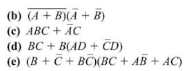
Me podrían ayudar a resolver los siguientes ejercicios:
Simplifique las siguientes expresiones booleanas a las expresiones conteniendo un numero mínimo de literales:
![]()
