Pregunta en
C y C++
y en 2 temas más
Estructuras dinámicas de datos listas
Hola !! Me pueden ayudar con este ejercicio: Debo modificar el código necesario para que, al ejecutarse el programa, solicite continuamente la captura de un valor que será insertado en la lista enlazada hasta que el usuario ya no desee continuar con...
Sin respuestas
Pregunta en
Matemáticas
y en 1 temas más
Como resolver este ejercicio sobre aplicando los distintos métodos de integración.
Hola Mr. Valero me puedes ayudar a resolver este ejercicio: Soluciones integrales en estructuras (SIE) es una empresa que se dedica a construir domos para almacenes, de los cuales uno de los más populares es el famoso Arco-senoidal, el cual es...
Sin respuestas
Pregunta en
Estadística y Probabilidad
y en 1 temas más
Como calculo la probabilidad para este ejercicio sobre limite y distribuciones muestrales.
Hola !!! Buenas noches Mr. Valero, solicito de su ayuda para resolver el siguiente ejercicio. Espero y me pueda ayudar. Gracias Un ascensor limita el peso de sus 4 ocupantes a 300 kilogramos. Si el peso de un individuo sigue una distribución normal...
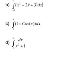
Pregunta en
Matemáticas
y en 1 temas más
Como calculo las siguientes Integrales
Pregunta en
Matemáticas
y en 1 temas más
Como calcular la probabilidad para este ejercicio sobre variables aleatorias.
Hola Mr. Valero, solicito su ayuda en la solución de este ejercicio de probabilidad, no se como plantear el ejercicio, que a continuación le planteo. Esperando que me pueda ayudar gracias En una fábrica una de las máquinas que elabora tornillos...
