Pregunta en
Matemáticas
y en 1 temas más
Como expreso esta integral definida en términos de suma de riemann
Como puedo expresar en suma de riemann Tomando los puntos extremos e la derecha como los puntos muestra
Pregunta en
Cálculo
y en 1 temas más
Tengo la siguiente integral indefinida, como puedo resolverla , solo ocupo un ejemplo
Para resolver las demás que son similares
Pregunta en
Matemáticas
y en 1 temas más
Integral indefinida, que fórmula si la hay se utiliza o identidad
Como resolver esta integrla
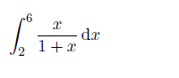
Pregunta en
Matemáticas
y en 1 temas más
Resolución de una integral definida, como se puede solucionar
En los intervalos de a= hasta b=
Pregunta en
Matemáticas
y en 1 temas más
Para este ejercicio debo expresar la siguiente integral como un limite de sumas de Riemman
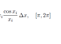
Pregunta en
Matemáticas
y en 1 temas más
Como puedo expresar la siguiente sumatoria con limites en una integral definida
Pregunta en
Matemáticas
y en 1 temas más
Problema de calculo integral, como puedo resolver este ejercicio
Pregunta en
Matemáticas
y en 1 temas más
