Pregunta en
Matemáticas
y en 1 temas más
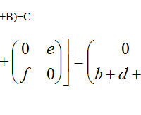
Para este ejemplo: Encuentra una base para el espacio de soluciones del sistema homogéneo.
Ya habia resuelto para una ecuacion , pero para 2 ecuaciones como lo puedo resolver?
Pregunta en
Matemáticas
y en 1 temas más
Como Determinar si el conjunto dado es una base para el espacio vectorial a que se refiere
En P2: como se resuelve este tipo de problemas, a que se refiere P2
Pregunta en
Matemáticas
y en 1 temas más
Como encontrar una base en R3 para el conjunto de vectores en el plano
Donde me dan la siguiente ecuación. 3x - 2y + z = 0 El tema es análisis de un espacio vectorial
Pregunta en
Matemáticas
y en 1 temas más
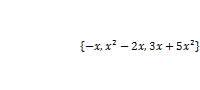
Determina si el conjunto de vectores dado es linealmente dependiente o independiente
Pregunta en
Matemáticas
y en 1 temas más
Entonces como puedo demostrar el siguiente ejercicio, Determina si el conjunto dado es un espacio vectorial. De no ser así
Proporciona una lista de los axiomas que no se cumplen. El conjunto de polinomios de grado ≤ n con término constante positivo.
Pregunta en
Matemáticas
y en 1 temas más
El conjunto de vectores en R3 de la forma (x ,x ,x)
Determina si el conjunto dado es un espacio vectorial. De no ser así proporciona una lista de los axiomas que no se cumplen.
Pregunta en
Matemáticas
y en 1 temas más
Determina si el conjunto dado es un espacio vectorial. De no ser así proporciona una lista de los axiomas que no se cumplen.
Pregunta en
Matemáticas
y en 1 temas más
El conjunto de polinomios de grado ≤ n con término constante cero
Determina si el conjunto dado es un espacio vectorial. De no ser así proporciona una lista de los axiomas que no se cumplen.
