Pregunta en
Química
y en 2 temas más
Trabajo de introductorio a la química numero de moles en una molécula de oxigeno
El número de moles que contienen 5 g de oxigeno espero me ayuden y me expliquen los pasos para hallarlo gracias feliz noche
Pregunta en
Ingeniería Industrial
y en 3 temas más
Problema de compuestos materiales industriales
Pregunta en
Matemáticas
y en 2 temas más
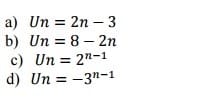
Graficar los 5 primeros términos de las siguientes progresiones
Pregunta en
Matemáticas
y en 2 temas más
Realizar las siguientes convenciones de unidades
Pregunta en
Matemáticas
Problema e un electricista aplicando sucesiones
A un electricista le ofrecen 18200 de sueldo fijo y le ofrecen 364 de aumento mensual desde el siguiente mes de ser contratado (a modo de incentivo para que no se cambie de empresa). A) ¿Cuál será su sueldo, durante el quinto mes de trabajar en esa...
Pregunta en
Matemáticas
Problema de colmena de abejas para resolver con sucesiones
. En una colonia de abejas, en el primer día de investigación, alumnos de Ingeniería Agrícola contabilizaron 3 abejas, el segundo día habían 9, el tercero habían 27. A) ¿Cuántas abejas nacieron hasta el 182 día? B)¿Cuántas abejas habían después de un...
Pregunta en
Matemáticas
y en 2 temas más
Taller de sucesiones y proporciones resolver
Se reparte un bono de Navidad a los 10 mejores vendedores de una empresa. Se sabe que, a mayor venta mayor bono, y que la diferencia entre 2 bonos consecutivos es siempre constante y es de 1820. Además el vendedor 1 recibe el menor bono y el vendedor...
Pregunta en
Matemáticas
y en 2 temas más
Problema de excavación con sucesiones y progresiones
. Se está excavando un pozo para encontrar petróleo, el gerente de la obra requiere saber cuántos metros de excavación van hasta el momento y solo conoce que el costo del primer metro excavado es de 182000, el costo por metro adicional es de 10.000 y...
Pregunta en
Matemáticas
Encuentre el primer término de una progresión cuya conociendo la diferencia común
Pregunta en
Matemáticas
y en 1 temas más
Taller de progresiones y sucesiones plantear el termino general
Plantee el término general de una progresión geométrica cuyo primer término es 182 y la razón común es 182 . Adicionalmente encuentre la suma de los primeros 5 términos y el valor del décimo término.
