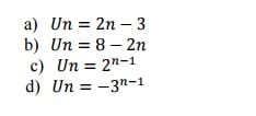
Graficar los 5 primeros términos de las siguientes progresiones

Buenas noches si pueden gratificar en geogebra les agradezco por su aporte los ejercicios son así tal cual la imagen y y determinar para
cada progresión si es geométrica o aritmética.
1 respuesta
Respuesta de Valero Angel Serrano Mercadal
2
