Pregunta en
Matemáticas
y en 3 temas más
Dos combinaciones lineales en el ejercicio
Pregunta en
Matemáticas
y en 2 temas más
Derivadas de orden superior para obtener la respuesta
Me pueden colaborar con este ejercicio que es sobre derivadas de orden superior.
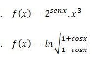
Pregunta en
Matemáticas
y en 2 temas más
En los siguientes ejercicios encontrar la derivada
Pregunta en
Física
y en 2 temas más
Movimientos ondulatorios. En los ejercicios planteados
Una estación sismográfica recibe ondas S y P de un terremoto, separadas 17.3 s. Suponga que las ondas viajaron sobre la misma trayectoria con magnitudes de velocidad de 4.50 km/s y 7.80 km/s. Encuentre la distancia desde el sismógrafo al hipocentro...
Pregunta en
Matemáticas
y en 2 temas más
Movimientos oscilatorios: para los siguientes ejercicios
Me pueden explicar el proceso de los siguientes ejercicios La posición de una partícula se conoce por la expresión? = (3.50?)??? (2.00?? +? /2), donde x está en metros y t en segundos. Determine: a) la frecuencia y periodo del movimiento, b)...
Pregunta en
Matemáticas
y en 4 temas más
Determinar planos ortogonales teniendo en cuenta los siguientes vectores
Pregunta en
Cálculo
y en 3 temas más
Rectas ortogonales teniendo en cuenta los siguientes puntos
Pregunta en
Matemáticas
y en 3 temas más
Encontrar ecuaciones paramétricas y simétricas de las siguientes puntos
Pregunta en
Nutrición y dietas
y en 4 temas más
Solicitar información del Kéfir, como bebida láctea
Investigar sobre los microorganismos que se consideran contaminantes del kéfir,
Sin respuestas
Pregunta en
Matemáticas
y en 2 temas más
Hallar el limite de ∛(x-1)/(x-1) cuando x es igual a 1
Obtener el limite ...
